| Teacher | Class/Stream | Subject | Title | File |
|---|---|---|---|---|
| TDC 1ST YEAR ARTS | Economics | Meaning and definition of Differential Equations | View | |
| RAM PRABESH SAHANI | TDC 3RD YEAR COMMERCE Honours | RFB II | RTI Act 2005 | View |
| RAM PRABESH SAHANI | TDC 3RD YEAR COMMERCE Honours | RFB II | RTI Act 2005 | View |
| RAM PRABESH SAHANI | TDC 3RD YEAR COMMERCE Honours | RFB II | RTI Act 2005 | View |
| DHANJIT PATHAK | TDC 1ST YEAR BBA Honours | Computer Fundamentals | Computer Network | View |
| DHANJIT PATHAK | TDC 3RD YEAR COMMERCE Regular | Information Technology in Business | Computer Network | View |
| DHANJIT PATHAK | TDC 1ST YEAR BBA Honours | Computer Fundamentals | Network Topologies | View |
| DHANJIT PATHAK | TDC 3RD YEAR COMMERCE Regular | Information Technology in Business | Network Topologies | View |
| TDC 2ND YEAR COMMERCE Regular | COMMERCE | UNIT 1: Meaning and features of financial services | View | |
| TDC 1ST YEAR ARTS Honours | Bengali | Bharatiya Janatattye Bangalir Sthan | View | |
| TDC 1ST YEAR ARTS Honours | Bengali | Bharatiya Janatattye Bangalir Sthan | View | |
| TDC 1ST YEAR ARTS Honours | Bengali | Bharatiya Janatattye Bangalir Sthan | View | |
| TDC 1ST YEAR ARTS Honours | Bengali | Bharatiya Janatattye Bangalir Sthan | View | |
| TDC 2ND YEAR ARTS Honours | Bengali | Vasha Bigyan | View | |
| KANGKANA CHOUDHURY | TDC 3RD YEAR COMMERCE Regular | Marketing of Services | Front office, back office, Seevice Marketing Triangle. | View |
| RAM PRABESH SAHANI | TDC 3RD YEAR COMMERCE Regular | RFB II | NOTES ON FEMA 1999 | View |
| TDC 3RD YEAR ARTS Regular | Hindi | पर्यावाची शब्द | View | |
| TDC 3RD YEAR ARTS Regular | Hindi | विलोम शब्द | View | |
| TDC 3RD YEAR ARTS Regular | Hindi | वाक्य शुद्धि | View | |
| TDC 1ST YEAR ARTS Regular | Hindi | कबीर दास की भक्तिभावना | View | |
| RAM PRABESH SAHANI | TDC 3RD YEAR COMMERCE Regular | RFB II | NOTES ON FEMA 1999 continue.. | View |
| RAM PRABESH SAHANI | TDC 3RD YEAR COMMERCE Regular | RFB II | NOTES ON IT Act 2000 | View |
| TDC 3RD YEAR COMMERCE Regular | Modern Banking Practices (MBP) | Modern functions of a commercial bank | View | |
| VANITA GUPTA | TDC 1ST YEAR COMMERCE Regular | BUSINESS LAW | INDIAN PARTNERSHIP ACT 1932 - Part 1 | View |
| KANGKANA CHOUDHURY | TDC 3RD YEAR COMMERCE Regular | Marketing of Services | Service evaluation and buyer decision process. | View |
| RAM PRABESH SAHANI | TDC 3RD YEAR COMMERCE Regular | RFB II | Notes on Patent Act 1970 | View |
| RAM PRABESH SAHANI | TDC 3RD YEAR COMMERCE Regular | RFB II | NOTES ON SEBI ACT 1992 | View |
| VANITA GUPTA | TDC 1ST YEAR COMMERCE Regular | BUSINESS LAW | INDIAN PARTNERSHIP ACT 1932 - Part 2 | View |
| TDC 2ND YEAR COMMERCE Honours | INTERNATIONAL BANKING | UNIT 5: Regulations of International Banking | View | |
| TDC 1ST YEAR ARTS Honours | Bengali | Bharatiya Janatattye Bangalir Sthan | View | |
| TDC 1ST YEAR ARTS Honours | Bengali | Bharatiya Janatattye Bangalir Sthan | View | |
| TDC 1ST YEAR COMMERCE Honours | Insurance and Risk Management (IRM) | Unit 1: Managing Risk and Methods of Handling risks | View | |
| TDC 3RD YEAR ARTS Honours | Assamese | SriKrishna tattwa | View | |
| TDC 3RD YEAR ARTS Honours | Assamese | SriKrishna tattwa | View | |
| TDC 3RD YEAR ARTS Honours | Assamese | Hengdang Natak | View | |
| TDC 3RD YEAR ARTS Honours | Assamese | Hengdang Natak | View | |
| TDC 3RD YEAR ARTS Honours | Assamese | Hengdang Natak | View | |
| TDC 3RD YEAR ARTS Honours | Assamese | Hengdang Natak | View | |
| TDC 3RD YEAR ARTS Honours | Assamese | Hengdang Natak | View | |
| TDC 3RD YEAR ARTS Honours | Assamese | Hengdang Natak | View | |
| TDC 3RD YEAR ARTS Honours | Assamese | Hengdang Natak | View | |
| Dr. Papri paul | TDC 1ST YEAR ARTS Honours | Bengali | Lokogaan (Bhatiyali) | View |
| Dr. Papri paul | TDC 3RD YEAR ARTS Honours | Bengali | Raja Natok | View |
| Dr. Papri paul | TDC 3RD YEAR ARTS Honours | Bengali | Raja Natok | View |
| Dr. Papri paul | TDC 3RD YEAR ARTS Honours | Bengali | Raja natok | View |
| Dr. Papri paul | TDC 3RD YEAR ARTS Honours | Bengali | Raja natok | View |
| Dr. Papri paul | TDC 3RD YEAR ARTS Honours | Bengali | রাজা নাটক | View |
| TDC 3RD YEAR ARTS Honours | Bengali | Drama:Karengor Ligiri | View | |
| TDC 3RD YEAR ARTS Honours | Bengali | Drama:Karengor Ligiri | View | |
| TDC 2ND YEAR COMMERCE Regular | Financial Services | UNIT 1: Kinds of Financial Services | View | |
| TDC 2ND YEAR COMMERCE Regular | Financial Services | UNIT 1: Financial Services provider | View | |
| TDC 2ND YEAR COMMERCE Regular | Financial Services | UNIT 1: Developments in the Indian Financial System | View | |
| VANITA GUPTA | TDC 1ST YEAR COMMERCE Regular | BUSINESS LAW | INDIAN PARTNERSHIP ACT 1932 - Part 3 | View |
| Sujitha Borah | TDC 2ND YEAR COMMERCE Honours | International Banking | Functions of International Monetary Fund | View |
| TDC 3RD YEAR ARTS Honours | Bengali | Drama:Karengor Ligiri | View | |
| TDC 3RD YEAR ARTS Honours | Bengali | Drama:Karengor Ligiri | View | |
| TDC 3RD YEAR ARTS Honours | Bengali | Drama:Karengor Ligiri | View | |
| TDC 3RD YEAR ARTS Honours | Bengali | Drama:Karengor Ligiri | View | |
| TDC 2ND YEAR COMMERCE Regular | Financial Services | UNIT 5: Venture Capital | View | |
| TDC 2ND YEAR BBA Regular | Management of Services | Product Mix of Tourism Sector | View | |
| VANITA GUPTA | TDC 3RD YEAR COMMERCE Regular | MARKETING OF SERVICE | MARKETING OF BANKING SERVICE | View |
| TDC 3RD YEAR BBA Regular | Sales and Distribution Management (Paper:6.1) | FUCTIONS AND IMPORTANCE OF SALES QUOTA | View | |
| TDC 2ND YEAR BBA Regular | Management of Services | promotion mix applied in marketing of banking services | View | |
| TDC 3RD YEAR COMMERCE Regular | FINANCIAL MANAGEMENT | Unit 1: Meaning of financial management and its evolution. | View | |
| KANGKANA CHOUDHURY | TDC 3RD YEAR COMMERCE Regular | Marketing Management | Introduction, Functions, Marketing Mix | View |
| TDC 3RD YEAR BBA Regular | Advertising & Sales Promotion | DAGMAR | View | |
| RAM PRABESH SAHANI | TDC 3RD YEAR COMMERCE Regular | RFB-I | Indian Contract Act 1872 | View |
| VANITA GUPTA | TDC 3RD YEAR COMMERCE Regular | BUSINESS ENVIRONMENT | CONCEPT, FEATURES AND IMPORTANCE OF BUSINESS ENVIRONMENT | View |
| RAM PRABESH SAHANI | HS 2ND YEAR COMMERCE | ACCOUNTANCY | Ratio Analysis | View |
| RAM PRABESH SAHANI | HS 1ST YEAR COMMERCE | ACCOUNTANCY | Journal | View |
| RAM PRABESH SAHANI | TDC 1ST YEAR COMMERCE Regular | Financial Accounting | Branch Accounting( Regular and Honours) | View |
| RAM PRABESH SAHANI | TDC 1ST YEAR COMMERCE Regular | Financial Accounting | Journal in Branch Accounting | View |
| RAM PRABESH SAHANI | HS 2ND YEAR COMMERCE | ACCOUNTANCY | Ratio Analysis | View |
| KANGKANA CHOUDHURY | HS 1ST YEAR COMMERCE | Business Studies | Unit-2 | View |
| RAM PRABESH SAHANI | TDC 1ST YEAR COMMERCE Regular | Financial Accounting | Branch Accounting( Regular and Honours) | View |
| RAM PRABESH SAHANI | TDC 3RD YEAR COMMERCE Regular | RFB-I | Indian Contract Act 1872 | View |
| KANGKANA CHOUDHURY | TDC 3RD YEAR COMMERCE Honours | CRM & RTM (Management major) | Unit 2 | View |
| RAM PRABESH SAHANI | TDC 3RD YEAR COMMERCE Regular | RFB-I | Difference between void and voidable contract; illegal and void agreement. | View |
| VANITA GUPTA | TDC 3RD YEAR COMMERCE Regular | BUSINESS ENVIRONMENT | COMPONENTS OF BUSINESS ENVIRONMENT | View |
| VANITA GUPTA | TDC 1ST YEAR COMMERCE Honours | BUSINESS LAW | INDIAN PARTNERSHIP ACT 1932 - Part 1 | View |
| RAM PRABESH SAHANI | TDC 3RD YEAR COMMERCE Regular | RFB-I | Indian Contract Act 1872 | View |
| RAM PRABESH SAHANI | HS 2ND YEAR COMMERCE | ACCOUNTANCY | Ratio Analysis | View |
| RAM PRABESH SAHANI | TDC 3RD YEAR COMMERCE Regular | RFB-I | Acceptance | View |
| RAM PRABESH SAHANI | TDC 1ST YEAR COMMERCE Regular | Financial Accounting (Regular and Honours) | Format of Branch Account | View |
| VANITA GUPTA | TDC 1ST YEAR COMMERCE Regular | BUSINESS ORGANISATION AND MANAGEMENT | SECTORS OF INDIAN ECONOMY | View |
| VANITA GUPTA | TDC 3RD YEAR COMMERCE Regular | MARKETING MANAGEMENT | CONCEPT AND NATURE OF CONSUMER BEHAVIOUR | View |
| RAM PRABESH SAHANI | HS 2ND YEAR COMMERCE | ACCOUNTANCY | Ratio Analysis | View |
| RAM PRABESH SAHANI | TDC 3RD YEAR COMMERCE Regular | RFB-I | Indian Contract Act 1872 | View |
| RAM PRABESH SAHANI | HS 2ND YEAR COMMERCE | ACCOUNTANCY | Ratio Analysis | View |
| RAM PRABESH SAHANI | TDC 1ST YEAR COMMERCE Regular | Financial Accounting | Branch Accounting( Regular and Honours) | View |
| GANESH BHATTARAI | TDC 3RD YEAR ARTS Regular | Tourism and Travel Managment | Managment | View |
| RAM PRABESH SAHANI | TDC 3RD YEAR COMMERCE Regular | RFB-I | Indian Contract Act 1872 | View |
| RAM PRABESH SAHANI | TDC 1ST YEAR COMMERCE Regular | Financial Accounting | Branch Accounting( Regular and Honours) | View |
| RAM PRABESH SAHANI | HS 2ND YEAR COMMERCE | ACCOUNTANCY | Ratio Analysis | View |
| CHADAN JYOTI GOHAIN | TDC 3RD YEAR ARTS Regular | TOURISM AND TRAVEL MANAGEMENT | HISTORY OF TOURISM | View |
| CHADAN JYOTI GOHAIN | TDC 3RD YEAR ARTS Regular | TOURISM AND TRAVEL MANAGEMENT | HISTORICAL MONUMENTS OF INDIA | View |
| GANESH BHATTARAI | TDC 2ND YEAR ARTS Regular | TOURISM AND TRAVEL MANAGEMENT | NATIONAL TOURISM POLICY | View |
| GANESH BHATTARAI | TDC 1ST YEAR ARTS Regular | TOURISM AND TRAVEL MANAGEMENT | PULL AND PUSH FACTOR | View |
| GANESH BHATTARAI | TDC 3RD YEAR ARTS Regular | TOURISM AND TRAVEL MANAGEMENT | beaches of India | View |
| GANESH BHATTARAI | TDC 3RD YEAR ARTS Regular | TOURISM AND TRAVEL MANAGEMENT | classical dance of india | View |
| VANITA GUPTA | TDC 3RD YEAR COMMERCE Regular | MARKETING MANAGEMENT | SIGNIFICANCE/ IMPORTANCE OF CONSUMER BEHAVIOUR | View |
| VANITA GUPTA | TDC 1ST YEAR COMMERCE Honours | BUSINESS LAW | TYPES OF PARTNERS IN A PARTNERSHIP FIRM | View |
| RAM PRABESH SAHANI | TDC 3RD YEAR COMMERCE Regular | RFB-I | Indian Contract Act 1872 | View |
| VANITA GUPTA | TDC 3RD YEAR COMMERCE Honours | CRM & RTM (MANAGEMENT MAJOR) | MEANING AND SIGNIFICANCE OF CRM | View |
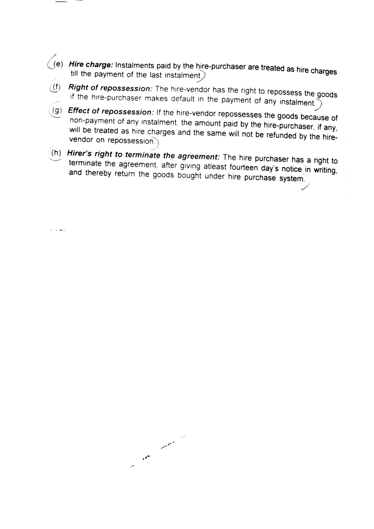
| PAYAL DAS | TDC 1ST YEAR COMMERCE Honours | Financial Accounting | Hire purchase system | View |
| PAYAL DAS | TDC 1ST YEAR COMMERCE Honours | Financial Accounting | Hire purchase system | View |
| PAYAL DAS | TDC 1ST YEAR COMMERCE Honours | Financial Accounting | Hire purchase system | View |
| PAYAL DAS | TDC 1ST YEAR COMMERCE Honours | Financial Accounting | Hire purchase system | View |
| PAYAL DAS | TDC 1ST YEAR COMMERCE Honours | Financial Accounting | Hire purchase system | View |
| PAYAL DAS | TDC 1ST YEAR COMMERCE Honours | Financial Accounting | Hire purchase system | View |
| PAYAL DAS | TDC 1ST YEAR COMMERCE Honours | Financial Accounting | Hire purchase system | View |
| PAYAL DAS | TDC 1ST YEAR COMMERCE Honours | Financial Accounting | Hire purchase system | View |
| PAYAL DAS | TDC 1ST YEAR COMMERCE Honours | Financial Accounting | Hire purchase system | View |
| PAYAL DAS | TDC 1ST YEAR COMMERCE Honours | Financial Accounting | Hire purchase system | View |
| VANITA GUPTA | TDC 1ST YEAR COMMERCE Honours | BUSINESS LAW | AUTHORITY OF PARTNER | View |
| RAM PRABESH SAHANI | TDC 1ST YEAR COMMERCE Regular | Financial Accounting (Regular and Honours) | Branch Accounting | View |
| RAM PRABESH SAHANI | TDC 3RD YEAR COMMERCE Regular | RFB-I | Indian Contract Act 1872 | View |
| VANITA GUPTA | HS 1ST YEAR COMMERCE | BUSINESS STUDIES | Unit-1 : CONCEPT AND CHARACTERISTICS OF BUSINESS | View |
| VANITA GUPTA | HS 2ND YEAR COMMERCE | BUSINESS STUDIES | Unit 2: MEANING AND NATURE OF PRINCIPLES OF MANAGEMENT | View |
| RAM PRABESH SAHANI | HS 2ND YEAR COMMERCE | ACCOUNTANCY | Ratio Analysis | View |
| RAM PRABESH SAHANI | TDC 3RD YEAR COMMERCE Honours | FSA | Ratio Analysis | View |
| RAM PRABESH SAHANI | TDC 3RD YEAR COMMERCE Regular | RFB-I | Indian Contract Act 1872 | View |
| KANGKANA CHOUDHURY | TDC 1ST YEAR COMMERCE Regular | Business Organisation and Management | Business Enterprises | View |
| VANITA GUPTA | TDC 1ST YEAR COMMERCE Honours | BUSINESS LAW | MINOR AS A PARTNER | View |
| VANITA GUPTA | HS 2ND YEAR COMMERCE | BUSINESS STUDIES | UNIT 2: SIGNIFICANCE/IMPORTANCE OF PRINCIPLES OF MANAGEMENT | View |
| KANGKANA CHOUDHURY | TDC 1ST YEAR COMMERCE Honours | Business Law | Indian Contract Act | View |
| VANITA GUPTA | TDC 1ST YEAR COMMERCE Regular | BUSINESS ORGANISATION AND MANAGEMENT | MANUFACTURING INDUSTRIES - MEANING, TYPES AND ROLE | View |
| KANGKANA CHOUDHURY | TDC 1ST YEAR COMMERCE Honours | Business Law | Indian Contract Act,1872 | View |
| RAM PRABESH SAHANI | TDC 3RD YEAR COMMERCE Regular | RFB-I | Indian Contract Act 1872 | View |
| KANGKANA CHOUDHURY | TDC 2ND YEAR COMMERCE Regular | New Venture Planning | Entrepreneur | View |
| VANITA GUPTA | HS 1ST YEAR COMMERCE | BUSINESS STUDIES | Unit-1 : OBJECTIVES OF BUSINESS | View |
| VANITA GUPTA | TDC 1ST YEAR COMMERCE Honours | BUSINESS LAW | DISSOLUTION OF PARTNERSHIP | View |
| VANITA GUPTA | TDC 3RD YEAR COMMERCE Regular | MARKETING MANAGEMENT | SCOPE OF CONSUMER BEHAVIOUR | View |
| RAM PRABESH SAHANI | TDC 3RD YEAR COMMERCE Regular | RFB-I | Indian Contract Act 1872 | View |
| RAM PRABESH SAHANI | TDC 3RD YEAR COMMERCE Regular | RFB-I | Indian Contract Act 1872 | View |
| VANITA GUPTA | HS 2ND YEAR COMMERCE | BUSINESS STUDIES | Unit 2: HENRY FAYOL’S PRINCIPLES OF MANAGEMENT | View |
| VANITA GUPTA | TDC 1ST YEAR COMMERCE Regular | BUSINESS ORGANISATION AND MANAGEMENT | SERVICE SECTOR- MEANING, NATURE AND TYPES. | View |
| VANITA GUPTA | TDC 3RD YEAR COMMERCE Honours | CRM & RTM (MANAGEMENT MAJOR) | OBJECTIVES AND TYPES OF CRM | View |
| VANITA GUPTA | HS 2ND YEAR COMMERCE | BUSINESS STUDIES | Unit 3: BUSINESS ENVIRONMENT- CONCEPT, FEATURES AND IMPORTANCE | View |
| KANGKANA CHOUDHURY | HS 1ST YEAR COMMERCE | Business Studies | Unit 2- Types of Business Organizatons | View |
| KANGKANA CHOUDHURY | TDC 1ST YEAR COMMERCE Regular | Business Organisation and Management | Unit-2. Business Enterprises | View |
| KANGKANA CHOUDHURY | TDC 1ST YEAR COMMERCE Honours | Business Law | Offer | View |
| VANITA GUPTA | HS 1ST YEAR COMMERCE | BUSINESS STUDIES | Unit 1: ROLE OF PROFIT IN BUSINESS | View |
| TDC 1ST YEAR ARTS Honours | dfdf | dfdfdfdf | View | |
| HS 1ST YEAR ARTS | awdawd | awdawd | View | |
| KANGKANA CHOUDHURY | TDC 1ST YEAR COMMERCE Regular | Business Law | Indian Contract Act, 1872 | View |
| KANGKANA CHOUDHURY | TDC 3RD YEAR COMMERCE Regular | Regulatory Framework of Business | Indian partnership Acct, 1932 | View |
| KANGKANA CHOUDHURY | TDC 3RD YEAR COMMERCE Regular | Regulatory Framework of Business- II | Indian Partnership Act, 1932 | View |
| KANGKANA CHOUDHURY | HS 2ND YEAR COMMERCE | Business Studies | Nature and Significance of Management | View |
| KANGKANA CHOUDHURY | TDC 3RD YEAR COMMERCE Regular | Regulatory Framework of Business- II | Indian Partnership Act, 1932 | View |
| TDC 3RD YEAR ARTS Honours | Political Science | Rule of Law | View | |
| TDC 2ND YEAR SCIENCE Regular | Jj | Jn | View | |
| DR BANDANA SHARMA | TDC 3RD YEAR ARTS Honours | Literary Theory and Criticism | Michel Foucault | View |
| DR BANDANA SHARMA | TDC 3RD YEAR ARTS Honours | Literary Theory and Criticism | Edward Said | View |
| DR BANDANA SHARMA | TDC 3RD YEAR ARTS Honours | Literary Theory | Frantz Fanon | View |
| DR BANDANA SHARMA | TDC 3RD YEAR ARTS Honours | Literary Theory | Derrida | View |
| DR BANDANA SHARMA | TDC 3RD YEAR ARTS Honours | Literary Theory | Elaine Showalter | View |
| DR BANDANA SHARMA | TDC 3RD YEAR ARTS Honours | Literary Theory | Toril Moi | View |
| DR BANDANA SHARMA | TDC 3RD YEAR ARTS Honours | Literary Theory | Terry Eagleton | View |
| DR BANDANA SHARMA | HS 2ND YEAR ARTS | English | Report Writing | View |
| DR BANDANA SHARMA | HS 2ND YEAR ARTS | English | Format for Job application and Biodata | View |
| DR. HIMANGSHU HAZARIKA | TDC 1ST YEAR SCIENCE Honours | LaTeX: PAPER CODE: SEC0206803 | LaTeX (2nd semester SEC) | View |
| Teacher | Class/Stream | Subject | Title | File |
Powered by: S.S. Technologies